392.04 Lagerkennzahlen
Es existieren 27 Lagerkennzahlen. Abhängig von der Eingabe in das Feld «Statistische Behandlung» werden beim Buchen Statistiksätze abgestellt, die die Berechnung von Lagerkennzahlen ermöglichen. Deshalb können Kennzahlen nicht nur auf ein Teil (d. h. über alle Lager, Lieferanten/ Kunden), sondern zusätzlich noch auf die Lager oder die Lieferanten bzw. Kunden des Teils bezogen ermittelt und ausgegeben werden. Die Statistiksätze werden dabei jeweils pro Teil, Lager etc. verdichtet. Nicht alle Kennzahlen können dabei aber kundenspezifisch oder lieferantenspezifisch sein (zum Beispiel ist es nicht sinnvoll, den Ausschussfaktor kundenspezifisch zu berechnen). Pro Kunde erscheinen fünf Kennzahlen, pro Lieferant zehn.
Hinweis
Lagerkennzahlen, die nicht nur teile- und lagerbezogen, sondern auch lieferantenbezogen ermittelt und ausgegeben werden, sind im Folgenden mit dem Text "bezogen auf Lieferanten", die auch kundenbezogenen mit dem Text "bezogen auf Kunden" gekennzeichnet.
Durchschnittswerte der Lagerkennzahlen
Die Durchschnittswerte der Lagerkennzahlen (über alle berücksichtigten Perioden) errechnen sich, falls in der Feldbeschreibung nicht extra erwähnt, nach der folgenden Formel:
Bemerkungen
|
g
|
Gewicht. Mit dieser Variablen kann ausgedrückt werden, welche Bedeutung dem Wert einer bestimmten Periode beigemessen wird. Diese Gewichte der Perioden können in 934 Konfigurationsparameter MWI eingegeben werden.
|
|
w
|
Wert (einer bestimmten Periode).
P(x) bzw. P(x-1) bezeichnet jeweils eine bestimmte Periode, wobei P(x) die aktuelle Periode darstellt und P(x-1) die davor liegende kennzeichnet. Die aktuelle Periode wird dann zur Durchschnittspreisberechnung verwendet, wenn das Feld «Aktuelle Periode» markiert wurde. Im anderen Fall werden nur Perioden ab der davor liegenden Periode (vorletzte Periode) verwendet.
Die ggf. ausgeklammerte aktuelle Periode und die in 934 Konfigurationsparameter MWI ausgeklammerten Perioden werden nicht berücksichtigt. Die zugehörigen Gewichtungen gehen auch nicht in die "Summe der Gewichtungen" ein. Perioden sind auszuklammern, wenn sie stark vom üblichen abweichende Werte enthalten und deshalb die Statistik verfälschen würden (Beispiel: Betriebsferien).
"+ ... + (w P(n) * g P(n))": Die Anzahl der berücksichtigten Perioden ergibt sich aus der Installation in "934 Konfigurationsparameter MWI" (maximal 12). Ausgeklammerte Perioden siehe oben.
"Summe der Gewichte" bedeutet: Summe der Gewichte der berücksichtigten Perioden. Die Gewichte der Perioden können in "934 Konfigurationsparameter MWI" eingegeben werden.
|
Sind alle Gewichtungen gleich 1, sind also alle Periodenwerte gleich bedeutsam, ergibt sich die einfache Formel zur Durchschnittsberechnung:
Wert = Summe der Periodenwerte / Anzahl der Perioden
Zugangsmenge (bezogen auf Lieferanten)
Es handelt sich um alle Lagerzugänge, allerdings ohne Rücklieferungen von Kunden (Buchungsart: ZK) und ohne Inventurdifferenzbuchungen.
bewertete Zugangsmenge (bezogen auf Lieferanten)
Es handelt sich um alle Lagerzugänge mit "Preis" größer Null, allerdings ohne Rücklieferungen von Kunden (Buchungsart: ZK), ohne Inventurdifferenzbuchungen, aber mit Berücksichtigung der Wertkorrekturen (Buchungsart: W). Wenn der Preis eines Lagerzugangs also auf Null korrigiert wird, dann wird die zugehörige Zugangsmenge von der bewerteten Zugangsmenge wieder abgezogen.
Zugangswert (bezogen auf Lieferanten)
Es handelt sich um den Wert aller Lagerzugänge, allerdings ohne Rücklieferungen von Kunden (Buchungsart: ZK), ohne Inventurdifferenzbuchungen, aber mit Berücksichtigung von Wertkorrekturen (Buchungsart: W).
Abgangsmenge (bezogen auf Kunden)
Es handelt sich um alle Lagerabgänge, allerdings ohne Rücklieferungen an Lieferanten (Buchungsart: AB) und ohne Inventurdifferenzbuchungen. Wenn die Abweichung einer Periode vom Durchschnittswert größer als die in "934 Konfigurationsparameter MWI" hinterlegte Abweichtoleranz ist, wird die Abgangsmenge bei verbrauchsgesteuerten Teilen in der Ausgabe mit einem Stern (*) gekennzeichnet.
bewertete Abgangsmenge (bezogen auf Kunden)
Es handelt sich um alle Lagerabgänge mit "Preis" größer Null, allerdings ohne Rücklieferungen von Kunden (Buchungsart: ZK), ohne Inventurdifferenzbuchungen, aber mit Berücksichtigung der Wertkorrekturen (Buchungsart: W). Wenn der Preis eines Lagerabgangs also auf Null korrigiert wird, dann wird die zugehörige Abgangsmenge von der bewerteten Abgangsmenge wieder abgezogen.
Abgangswert (bezogen auf Kunden)
Es handelt sich um den Wert aller Lagerabgänge, allerdings ohne Rücklieferungen von Kunden (Buchungsart: ZK), ohne Inventurdifferenzbuchungen, aber mit Berücksichtigung von Wertkorrekturen (Buchungsart: W).
Durchschnittspreis Einkauf (bezogen auf Lieferanten)
Dieser Durchschnittspreis errechnet sich aus Zugangswert und Zugangsmenge bewertet (siehe oben). Er kann zur Aktualisierung des Einkaufspreises (111 Teilestamm bearbeiten) in 393 Lagerkennzahlen aus Lagerstatistik aktualisieren herangezogen werden. Der Preis bezieht sich auf die Mengeneinheit der Bestellung ("111 Teilestamm bearbeiten").
Es gelten folgende Formeln:
Bemerkungen
-
Die Preiseinheit stammt aus "111 Teilestamm bearbeiten", falls die Mengeneinheit der Bestellung der Mengeneinheit des Lagers entspricht, andernfalls ist sie gleich eins.
-
Der Umrechnungsfaktor stammt aus der Umrechnungsdatei. Er dient hier der Umrechnung der Mengeneinheit des Lagers in die Mengeneinheit der Bestellung.
Durchschnittspreis Verkauf (bezogen auf Kunden)
Dieser Durchschnittspreis errechnet sich aus dem Abgangswert und der bewerteten Abgangsmenge (siehe oben). Er kann zur Aktualisierung des Verkaufspreises (111 Teilestamm bearbeiten) in 393 Lagerkennzahlen aus Lagerstatistik aktualisieren herangezogen werden. Der Preis bezieht sich auf die Mengeneinheit des Verkaufs ("111 Teilestamm bearbeiten"). Es gelten die Formeln analog zu den Formeln von "Durchschnittspreis Einkauf" (siehe oben).
Durchschnittslagerbestand
Der durchschnittliche Lagerbestand wird zur Berechnung der Lagerumschlagshäufigkeit, der Lagerreichweite und zur Lagerbewertung benötigt. Für die Berechnung des Durchschnittslagerbestand der Periode gilt folgende Formel:
Bemerkung
Anfangsbestand und Endbestand werden aus der Statistikdatei entnommen. Der Anfangsbestand wird bei der ersten Buchung der Periode in der Statistikdatei abgestellt. Der Endbestand wird bei jeder Buchung aktualisiert.
Durchschnittslagerwert
Für die Berechnung des Durchschnittslagerwerts der Periode gilt folgende Formel:
Für die Berechnung des Durchschnittslagerwerts über alle Perioden gilt folgende Formel:
Bemerkungen
-
Das Bewertungskennzeichen kann in "934 Konfigurationsparameter MWI" bestimmt werden. Ist der Preis lt. Bewertungskennzeichen aber gleich Null, so wird das Bewertungskennzeichen aus 111 Teilestamm bearbeiten verwendet. Bei Bewertung nach dem Höchst- oder Niederstwertprinzip werden alle 6 möglichen Preise ausgewertet.
-
Der Preis wird auf Mengeneinheit und Preiseinheit der Lagerbestandsführung umgerechnet.
Meldebestand
Der errechnete Meldebestand ist nur bei verbrauchsgesteuerten Teilen (bzw. potentiell zukünftig verbrauchsgesteuerten Teilen) aussagekräftig. Verbrauchsgesteuerte Teile sind im Teilestamm im Feld «Dispositionsart» mit "verbrauchsgesteuert" gekennzeichnet ("111 Teilestamm bearbeiten"). Es gilt:
Sicherheitsbestand
Der errechnete Sicherheitsbestand ist nur bei verbrauchsgesteuerten Teilen (bzw. potentiell zukünftig verbrauchsgesteuerten Teilen) aussagekräftig. Verbrauchsgesteuerte Teile sind im Teilestamm im Feld «Dispositionsart» mit "verbrauchsgesteuert" gekennzeichnet (111 Teilestamm bearbeiten). Der Sicherheitsbestand je Periode ist nicht errechenbar, da die Variablen "maximaler Verbrauch" und "Durchschnittsverbrauch" nur als Durchschnittswert über alle Perioden existieren. Deshalb wird die Kennzahl "Sicherheitsbestand der Periode" auf Null gesetzt.
Der Sicherheitsbestand wird für Teile mit mengenabhängiger Beschaffungszeit und für Teile mit mengenunabhängiger Beschaffungszeit gleich berechnet.
Die Formel lautet:
Dabei gilt:
-
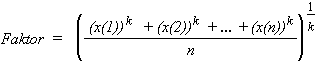
FaktorDie Variable "Faktor" wird parallel mit zwei Formeln berechnet. Sobald der mit der ersten Formel errechnete Wert kleiner ist als der mit der zweiten Formel berechnete, wird der mit der ersten Formel berechnete Wert für die Berechnung des Sicherheitsbestands verwendet.
erste Formel:
Diese Formel wurde ausschließlich bei früheren Versionen von infra:NET verwendet. Sie hat den Nachteil, dass durch einen Ausreißer im Verbrauch (also ein einmaliger sehr hoher Verbrauch) der Sicherheitsbestand sehr hoch angesetzt wird. Dadurch wird der Sicherheitsbestand zwar "sehr sicher", aber unwirtschaftlich. Deshalb erfolgt seit der Version 4.10 die Berechnung nach folgender Formel:
zweite Formel:

Dabei bedeutet:
|
k
|
Gewichtung von 0,0 bis 9,9. Die Gewichtung wird in 934 Konfigurationsparameter MWI eingetragen. Als Standard wird der Wert 2,0 vorbelegt. Mit diesem Wert entspricht der Wert des Faktors der durchschnittlichen Abweichung vom Mittelwert (Standard-Abweichung). Wenn 0,0 eingetragen ist, wird der Faktor 0 angenommen; wenn 9,9 eingetragen ist, wird die Variable "Faktor" nach der alten Formel berechnet. Je größer k, desto größer der Wert des Faktors.
|
|
n
|
Anzahl der berücksichtigten Perioden.
|
|
x(n)
|
Abstand des Verbrauchswertes der Periode n zum Mittelwert, der mit k gewichtet wird.
|
Beschaffungszeit
Die durchschnittliche mengenabhängige Beschaffungszeit wird etwas anders berechnet als die durchschnittliche mengenunabhängige Beschaffungszeit.
Bei den Zeiten wird nicht mit Arbeitstagen sondern mit Kalendertagen gerechnet.
Es handelt sich um die Zeitdauer zwischen Absendung der Bestellung (Bestelltermin) und dem Lagerzugang aufgrund der Bestellung bzw. dem Start- und Endtermin für die Fertigung eines Erzeugnisses. Nur die Buchungsart ZB (Zugang aufgrund einer Bestellung) sowie ZF (Zugang aus Fertigung) und eventuelle Stornierungen derselben werden berücksichtigt. Es wird ohne Berücksichtigung von Arbeitstagen immer die reine Zeitspanne ermittelt.
Hinweis: Die Rechnung enthält eine Ungenauigkeit, da beim Wareneingang die Differenz des geplanten Startdatums und dem Buchungsdatum verwendet wird. Bei Teillieferungen wird nur die erste Lieferung berücksichtigt, da sonst ggf. doppelt berücksichtigt wird.
Siehe auch Aktualisierung der Beschaffungszeit im Teilestamm über "517 Beschaffungszeit aktualisieren".
Vorschlagsmenge Bestellmenge (bezogen auf Lieferanten)
Es handelt sich um die optimale Vorschlagsmenge. Durch die Verwendung dieser Vorschlagsmenge wird die Verfügbarkeit von Teilen mit ausgeglichenem Jahresbedarf am kostengünstigsten gewährleistet. Das Feld «Vorschlagsmenge» in 111 Teilestamm bearbeiten kann mit Hilfe von 393 Lagerkennzahlen aus Lagerstatistik aktualisieren aktualisiert werden.
Für die Kennzahl "Vorschlagsmenge" je Periode gilt:

Für die Kennzahl "Vorschlagsmenge" über alle Perioden gilt:

Bemerkungen
|
Preis
|
"Preis" ist dabei der durchschnittliche Einkaufspreis.
|
|
PE
|
"Preiseinheit" (PE) stammt aus "111 Teilestamm bearbeiten", falls dort die Mengeneinheit der Bestellung der Mengeneinheit des Lagers entspricht, andernfalls steht die Preiseinheit im zugehörigen Umrechnungssatz.
|
|
UF
|
Der Umrechnungsfaktor (UF) stammt aus der Umrechnungsdatei. Er dient hier der Umrechnung der Mengeneinheit der Bestellung in die Mengeneinheit des Lagers, da der "Preis" sich auf "Mengeneinheit Bestellung") bezieht.
|
|
Ptage
|
"Ptage" bedeutet: Anzahl der Tage der Periode:
Die Woche hat 7 Tage.
Der Monat hat 30 Tage.
Das Quartal hat 91 Tage.
Das Jahr hat 365 Tage.
|
"Fixe Auftragskosten", "Jahreszinssatz" und "Lagerkostensatz" müssen in 934 Konfigurationsparameter MWI eingetragen werden.
Bei der aktuellen (= laufenden) Periode gilt die Anzahl der innerhalb der Periode vergangenen Tage.
Mindestbestellmenge
Es handelt sich um die Bestellmenge, die mindestens bestellt werden sollte, damit die Verfügbarkeit von Teilen mit ausgeglichenem Verbrauch gewährleistet ist. Das Feld «Mindestbestellmenge» in 111 Teilestamm bearbeiten kann mit Hilfe von 393 Lagerkennzahlen aus Lagerstatistik aktualisieren aktualisiert werden. Für die Kennzahl "Mindestbestellmenge" gelten folgende Formeln:
Bei Teilen, deren Beschaffungszeit mengenunabhängig ist, gilt für die Berechnung der Mindestbestellmenge der Periode folgende Formel:
Bei Teilen, deren Beschaffungszeit mengenabhängig ist, gilt für die Berechnung der Mindestbestellmenge der Periode:
Bei der Durchschnittsberechnung über alle Perioden sind für die Variablen "Beschaffungszeit", "Abgangsmenge" und "Vorschlagsmenge" statt der Periodenwerte die Durchschnittswerte (über alle Perioden) einzusetzen.
Bemerkungen
-
"Mengenabhängige Beschaffungszeit" bedeutet: Beschaffungszeit je Teil.
-
"Vorschl.menge" = Vorschlagsmenge
-
Anzahl der Tage der Periode:
-
Die Woche hat 7 Tage.
-
Der Monat hat 30 Tage.
-
Das Quartal hat 91 Tage.
-
Das Jahr hat 365 Tage.
-
Bei der aktuellen (= laufenden) Periode gilt die Anzahl der innerhalb der Periode vergangenen Tage.
Losgröße
Es handelt sich um die optimale Losgröße. Durch die Verwendung dieser Losgröße wird die Verfügbarkeit von Teilen mit ausgeglichenem Verbrauch am kostengünstigsten gewährleistet. Bei verbrauchsgesteuerten Teilen kann das Feld «Losgröße» in 111 Teilestamm bearbeiten mit Hilfe von 393 Lagerkennzahlen aus Lagerstatistik aktualisieren aktualisiert werden. Bei nicht verbrauchsgesteuerten Teilen wird die Losgröße des Teilestammes nur als Sprungmenge (Rundungsgröße) vom System verwendet.
Für die Kennzahl "Losgröße je Periode" gilt:

Für die Kennzahl "Losgröße alle Perioden" gilt:

Bemerkungen
|
PE
|
"Preiseinheit" (PE) stammt aus "111 Teilestamm bearbeiten".
|
|
Ptage
|
Ptage bedeutet: Anzahl der Tage der Periode:
Die Woche hat 7 Tage.
Der Monat hat 30 Tage.
Das Quartal hat 91 Tage.
Das Jahr hat 365 Tage.
|
"Fixe Rüstkosten", "Jahreszinssatz" und "Lagerkostensatz" müssen in 934 Konfigurationsparameter MWI eingetragen werden. Sind die "fixen Rüstkosten" aus "111 Teilestamm bearbeiten" gleich Null, dann verwendet "392 Lagerstatistik" die fixen Rüstkosten aus "934 Konfigurationsparameter MWI".
Bei der aktuellen (= laufenden) Periode gilt die Anzahl der innerhalb der Periode vergangenen Tage.
Lagerreichweite
Es handelt sich um die Zeitdauer, für die im Durchschnitt der Lagerbestand ausreicht, um die Verfügbarkeit von Teilen mit gleichmäßigem Verbrauch zu gewährleisten. Für die Kennzahl "Lagerreichweite" gilt die folgende Formel:
Für die Ermittlung des Durchschnittswertes über alle Perioden (Durchschnittswert) sind für die Variablen durchschn. Lagerbestand und Abgangsmenge statt der Periodenwerte die Durchschnittswerte (über alle Perioden) einzusetzen.
Bemerkungen
Das Ergebnis erscheint in der Mengeneinheit Periode (also in Wochen oder Monaten usw.).
Lagerumschlagshäufigkeit
Gibt an, wie oft der durchschnittliche Lagerbestand der Periode umgeschlagen (verbraucht) wird. Die Umschlagshäufigkeit ist der Kehrwert der Lagerreichweite. Für die Kennzahl Lagerumschlagshäufigkeit gilt:
Für die Ermittlung des Durchschnittswertes über alle Perioden sind für die Variablen "durchschn. Lagerbestand" und "Abgangsmenge" statt der Periodenwerte die Durchschnittswerte (über alle Perioden) einzusetzen.
Fertigungsmenge
Es handelt sich um die Lagerzugänge wegen Rückmeldung von Fertigungsaufträgen (Buchungsart: ZF). Diese Buchungen können 571 Rückmelden Material ff. erfolgen.
Ausschussmenge
Es handelt sich um die Differenz zwischen Auftragsmenge und fertiggestellter Menge. Diese Differenz tritt bei der Buchung der Lagerzugänge wegen Rückmeldung von Fertigungsaufträgen (Buchungsart: ZF) auf. Diese Buchungen können in 319 Materialbewegungen und Zustandsänderungen und "571/ 5743 Rückmelden Material" erfolgen.
Ausschuss in %
Es handelt sich um den prozentualen Anteil der Ausschussmenge an der Fertigungsmenge. Für die Periode gilt:
Rücklieferungen (bezogen auf Lieferanten, bezogen auf Kunden)
Es handelt sich um die Summe der jeweils auftretenden Rücklieferungen an Lieferanten bzw. von Kunden (Buchungsarten: AB bzw. ZK) auf. Diese Buchungen können über 464 Gutschriften drucken erfolgen.
Fehlbedarfsmengen
Es handelt sich um die Summe der Lagerabgangsbuchungen bei Sicherheitsbestandsunterschreitung.
Fehlbedarfsanzahl
Es handelt sich um die Anzahl der Lagerabgangsbuchungen bei Sicherheitsbestandsunterschreitung.
Beschaffungszeit (bezogen auf Lieferanten)
Es handelt sich um die durchschnittliche Zeitdauer zwischen Beginn der Produktion (Starttermin) bzw. Absendung der Bestellung (Bestelltermin) und dem Lagerzugang aufgrund des Fertigungsauftrags bzw. der Bestellung. Nur die Buchungsarten ZF, ZB und eventuelle Stornierungen derselben werden demgemäß berücksichtigt. Wenn die Abweichung einer Periode vom Durchschnittswert größer als die in 934 Konfigurationsparameter MWI hinterlegte Abweichtoleranz ist, wird die Beschaffungszeit in der Ausgabe mit einem Stern (*) gekennzeichnet.
Bemerkungen
Die Beschaffungszeit wird aus Buchungsdatum des Lagerzugangs und dem Erfassungsdatum des Auftrags ermittelt.
Das Buchungsdatum des Lagerzugangs bestimmt die Periode, die der jeweiligen Beschaffungszeit zugeordnet ist.
Die Summe der Beschaffungszeiten, -menge und die Anzahl der einzelnen Perioden, die zur Ermittlung der Beschaffungszeit benötigt werden, stehen als Kennzahlen zur Verfügung (siehe unten).
Bei mengenabhängigen Beschaffungszeiten existieren in 111 Teilestamm bearbeiten die Felder «Beschaffungszeit» und «Menge zur Beschaffungszeit», welche die Beschaffungszeit in Abhängigkeit der Lagermengeneinheit angeben.
Beispiel
-
Periode 1 (2 Bestellungen):10 Tage für 110 St20 Tage für 190 St
-
Periode 2 (2 Bestellungen):20 Tage für 150 St25 Tage für 150 St
-
"Menge zur Beschaffungszeit" = 10
Beschaffungszeit Periode 1:
Beschaffungszeit Periode 2:
Beschaffungszeit im Durchschnitt:
Hinweis
Die folgenden Felder sind Kennzahlen, die in den Feinselektionsfenstern nicht als Selektionsfelder, sondern nur in der Ausgabe erscheinen. Sie dienen der Berechnung der Kennzahl "Beschaffungszeit".
Summe aller Beschaffungsmengen (bezogen auf Lieferanten)
Es handelt sich um die Summe der Beschaffungsmengen (Rückmeldungsmengen, Liefermengen, Buchungsarten: ZF, ZB) innerhalb einer Periode. Nur solche Beschaffungsmengen werden berücksichtigt, bei denen die Beschaffungszeit der Lagerzugangsbuchung ungleich Null ist. Bei der Durchschnittsbildung geht die zum Periodenwert der Kennzahl gehörige Gewichtung, wenn der Periodenwert gleich Null ist, auch nicht in die Summe der Gewichtungen ein.
Anzahl Beschaffungen dazu (bezogen auf Lieferanten)
Es handelt sich um die Anzahl der Zugangsbuchungen (Buchungsarten: ZF, ZB) mit Beschaffungszeit ungleich Null innerhalb einer Periode. Bei der Durchschnittsbildung geht die zum Periodenwert der Kennzahl gehörige Gewichtung, wenn der Periodenwert gleich Null ist, auch nicht in die Summe der Gewichtungen ein.
Summe aller Beschaffungszeiten (bezogen auf Lieferanten)
Es handelt sich um die Summe der Beschaffungszeiten (bei Rückmeldungsbuchungen, bei Lagerzugängen von Lieferanten, Buchungsarten: ZF, ZB) innerhalb einer Periode. Bei der Durchschnittsbildung geht die zum Periodenwert der Kennzahl gehörige Gewichtung, wenn der Periodenwert gleich Null ist, auch nicht in die Summe der Gewichtungen ein.
