45S.03 Bereich Verkauf
Im Bereich Verkauf wird die Seriennummernverwaltung über die Sektion [AUF435], SIBPPS.INI-Einstellungen "SerienNr=1" bzw. "SerienNr=2" bzw. "SerienNrMng = Y", aktiviert. Die Ausgabe von Seriennummern auf Lieferschein und Rechnung wird über Einstellungen in den Sektionen [AUF43AL] bzw. [AUF43AR] konfiguriert.
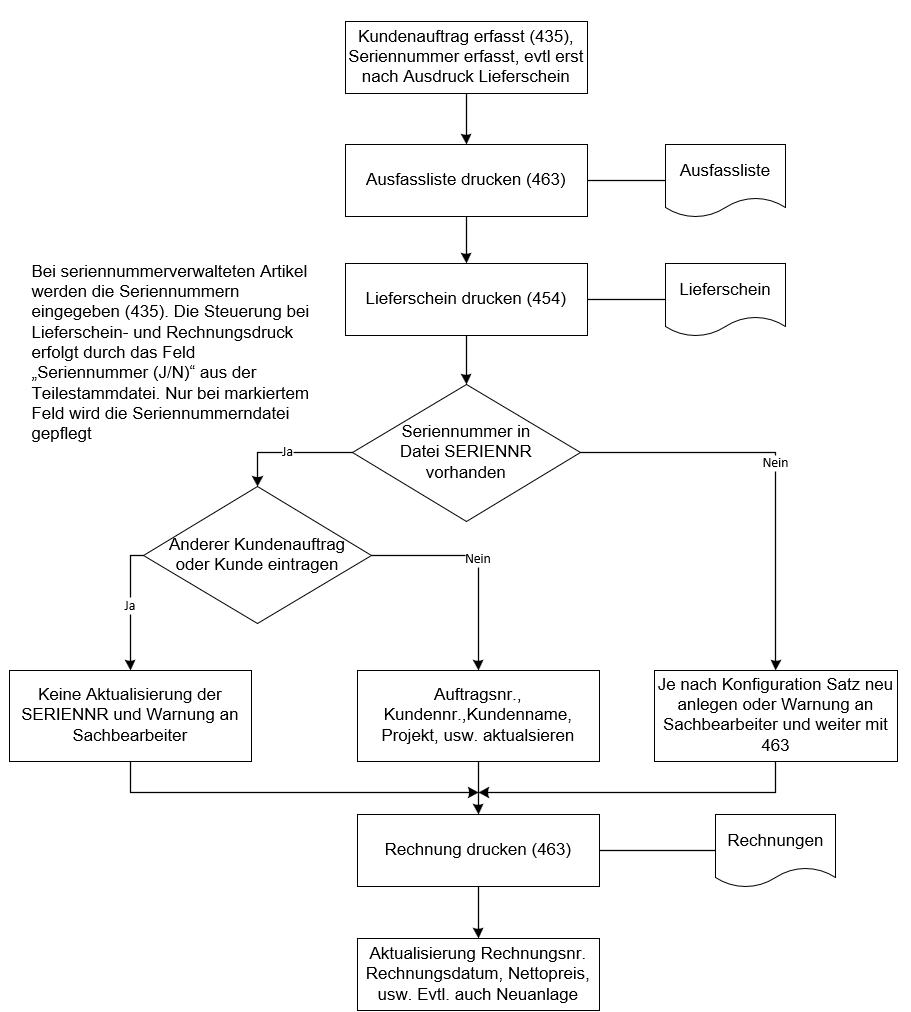
Beim Erfassen einer Auftragsposition in "435 Aufträge bearbeiten" kann im Register "Zusatz" zur Auftragsposition eine Seriennummer vorgegeben werden. Die Eingabe ist unabhängig von einer vorhandenen Seriennummernkonfiguration immer möglich.
Bei mengenabhängiger Seriennummernvergabe in "435 Aufträge bearbeiten" (Schlüsselwort "SerienNrMng = Y") werden nach Bestätigung der Auftragsposition so viele Seriennummernsätze geschrieben wie die Auftragsmenge angibt. Bei der Änderung der Auftragsmenge werden keine Seriennummern geschrieben oder gelöscht. Bei der Erhöhung der Menge wird eine Meldung ausgegeben, die besagt, dass für die zusätzlichen Mengen keine Seriennummer vergeben wird, sondern eine zusätzliche neue Auftragsposition erfasst werden soll.
Die Seriennummer kann manuell vergeben werden oder kann durch Eingabe von "?" aus dem Nummernkreisparameter "NKSNR?" vorbelegt werden (Parameteraufbau wie bei [FieldParam]-Technik, es darf aber kein Eintrag in der Datei SIBPPS.INI, Sektion [FieldParam] für das Seriennummernfeld vorhanden sein!). Wenn die Nummer aus dem Parameter vorbelegt und nicht manuell geändert wird, dann werden so viele Seriennummernsätze geschrieben, wie die Auftragsmenge angibt. Wenn die Seriennummer manuell vergeben wurde, wird nur bei einer Menge von 1 ein Seriennummernsatz geschrieben.
Eine Änderung der aus dem Nummernkreis abgerufenen Seriennummer kann über den Eintrag "SerienNrEdit" in Sektion [AUF435] in der Datei SIBPPS.INI ermöglicht werden. Zum Beispiel kann damit ein Platzhalter für eine Fertigungsauftragsnummer hinterlegt werden. Nach dem Abruf der Seriennummer wird der Platzhalter durch die zugehörige Fertigungsauftragsnummer ersetzt. Ohne die Einstellung werden bei der Änderung der Seriennummer keine Seriennummernsätze generiert.
Für S-Zeilen kann ebenfalls ein Seriennummernsatz generiert werden, falls in Sektion [AUF435] das Schlüsselwort "SerienNrMng-S-B" mit "Yes" versorgt ist. Es wird nur dann ein Satz für die S-Zeile in der Seriennummerndatei abgestellt, wenn die zugehörige K-Zeile eine Losgröße (Menge) von 1 hat. Das Teil der S-Zeile muss als Seriennummernteil gekennzeichnet sein und über die S-Zeile wird gebucht und nicht fakturiert. Die Seriennummer der aktuellen K-Zeile wird in die S-Zeile übernommen.
Beim Druck von Angeboten und Auftragsbestätigungen können zu jeder Auftragsposition die zur Teilenummer der Position zugehörigen Seriennummern ausgegeben werden. Für die Teile muss die Seriennummernverwaltung im Teilestamm aktiviert sein. Die Steuerung erfolgt über die INI-Einstellungen SNRprt in Sektion [AUF43AA] für Angebote und in Sektion [AUF43AB] für Auftragsbestätigungen.
Beim Lieferscheindruck der Auftragsposition im Echtlauf (454 Lieferscheine drucken) wird die Seriennummerndatei laut Konfiguration versorgt, sofern im Teilestamm die Kennung für Seriennummernverwaltung gesetzt ist und sofern eine Seriennummer in der Auftragsposition eingetragen ist. Falls der Datensatz für die betreffende Seriennummer bereits vorhanden ist, wird je nach Konfiguration der Satz aktualisiert oder abgewiesen. Sollte der Seriennummer bereits ein anderer Kunde zugeordnet sein, so wird eine Warnung ausgegeben und es wird nichts verändert.
Falls bei der Lieferscheinschreibung keine Seriennummernverwaltung aktiviert ist oder kein Lieferschein gedruckt wird, übernimmt der Rechnungsdruck die Seriennummernverwaltung. Bei bereits vorhandenen Seriennummern, z.B. aus Lieferscheindruck, werden die Rechnungsnummer und das Rechnungsdatum versorgt.
Bei der Neuanlage des Seriennummernsatzes werden die Felder «Seriennummer», «Teilenummer», «Teilebezeichnung», «Status», «Projekt», «Kundennummer» samt Adressdaten, «Verkaufspreis», «Lieferscheindaten», «Rechnungsnummer» usw., «Änderungsdatum», «Sachbearbeiter Änderung» und «Erfassungsdatum» versorgt.
Die Adressdaten zur Auslieferung werden in jedem Fall versorgt, auch wenn kein abweichender Kunde oder keine abweichende Versandadresse angegeben wurde.
Beim Rechnungsdruck werden zusätzlich die Felder «Rechnungsnummer» und «Rechnungsdatum» übernommen. Bei der Aktualisierung des Seriennummernsatzes wird das Erfassungsdatum nicht versorgt.
Bei mengenabhängiger Seriennummernvergabe wird eine Meldung ausgegeben, falls weniger Seriennummernsätze vorhanden sind als die zu liefernde bzw. die zu fakturierende Menge aussagt. Bei Teillieferungen/Rechnungen werden so viele Sätze aktualisiert, wie Teile geliefert/berechnet werden. Bei weiteren Teillieferungen/Teilrechnungen wird mit der bereits gelieferten Menge innerhalb der Seriennummernsätze aufgesetzt. Falls festgestellt wird, dass Sätze mit Nummern aus dem Nummernkreis bereits vorhanden sind, wird eine Meldung ausgegeben und kein Seriennummernsatz generiert.
Die über "435 Aufträge bearbeiten" angelegten Seriennummernsätze, die auf Grund einer Reduzierung der Auftragsmenge beim Liefern/Fakturieren nicht aktualisiert wurden, bleiben in der Datei stehen. Sie sind an den fehlenden Lieferdaten erkennbar und können manuell über "45S Seriennummern bearbeiten" gelöscht werden.
Ein weiterer Eintrag in der Datei SIBPPS.INI, Sektion [AUF435] unter dem Schlüsselwort "AusKinS" ermöglicht die Übernahme eines individuellen Feldes aus der Datei 47 in die Seriennummerndatei.
Beim Kopieren von Aufträgen im Programm "438 Angebote/Aufträge kopieren" werden keine Sätze in der Seriennummerndatei erzeugt.
Ablaufdiagramm der Seriennummernverwaltung im Bereich Verkauf

