594.01 Kennzahlen
Hinweis:
Falls nur eine bestimmte Periode ausgewählt wird, werden keine anderen Perioden und keine Gewichtungen berücksichtigt.
Anzahl der Rückmeldungen
Für die Berechnung der Anzahl der Rückmeldungen gilt folgende Formel:
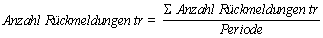
Anzahl der Rückmeldungen der Rüstzeit
Für die Berechnung der Anzahl der Rückmeldungen der Rüstzeit gilt folgende Formel:
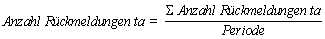
Anzahl der Rückmeldungen der Ausführungszeit
Für die Berechnung der Anzahl der Rückmeldungen der Ausführungszeit gilt folgende Formel:
Durchschnittliche Arbeitsgang-Dauer
Für die Berechnung der durchschnittlichen Arbeitsgang-Dauer gilt folgende Formel:
Durchschnittliche Ausführungszeit
Für die Berechnung der durchschnittlichen Ausführungszeit gilt folgende Formel:

Durchschnittliche Rüstzeit
Für die Berechnung der durchschnittlichen Rüstzeit gilt folgende Formel:

Verhältnis der Rüstzeit zur Ausführungszeit
Für die Berechnung des Verhältnisses der Rüstzeit zur Ausführungszeit gilt folgende Formel:
Verhältnis der Rüstzeit zur Arbeitsgang-Dauer
Für die Berechnung des Verhältnisses der Rüstzeit zur Arbeitsgang-Dauer gilt folgende Formel:
Verhältnis der Ausführungszeit zur Arbeitsgang-Dauer
Für die Berechnung des Verhältnisses der Ausführungszeit zur Arbeitsgang-Dauer gilt folgende Formel:
Plankapazität neu
Die Plankapazität neu gibt die tatsächlich Arbeitszeit der Maschine in Stunden je Arbeitstag an. Für die Berechnung der Plankapazität gilt folgende Formel:
Nutzungsgrad neu
Der Nutzungsgrad neu gibt das Verhältnis Ist-/ Soll-Kapazitätsauslastung an. Für die Berechnung des Nutzungsgrades gilt folgende Formel:
