611.02 Kalkulationsvorbereitung - Fenster 2
|
Beschreibung der Bildschirmfelder
|
Die folgenden Selektionen bestimmen die übergeordneten Teile, deren Struktur (Stückliste) bei der Kalkulationsvorbereitung aufgelöst werden soll. Dabei werden alle Komponenten der Stücklisten unselektiert in die Kalkulationsdatei übernommen und deren Kalkulationsstufen ermittelt.
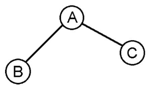
Beispiel
Stücklistenstruktur

Bei der Kalkulationsvorbereitung wird nur Teil A selektiert. Da die Teile B und C Komponenten von A sind, werden sie ebenfalls in die Kalkulationsdatei übernommen.
Die folgenden vier Felder dienen der groben Einschränkung der Teile, für die die Struktur der Stückliste aufgelöst werden soll:
Einkaufsteile Markierung
Bei Markierung dieses Feldes wird für alle Einkaufsteile die Struktur der Stückliste aufgelöst. Ansonsten werden Einkaufsteile nicht aufgelöst, es sei denn, sie werden durch eines der 3 anderen Auswahlfelder eingeschlossen.
Beispiel
Teil 1 ist Einkaufsteil und Verkaufsteil
|
Feld «Einkaufsteil»
|
Feld «Verkauftsteil»
|
Selektion
|
|
Markierung ein
|
Markierung aus
|
ja
|
|
Markierung aus
|
Markierung ein
|
ja
|
|
Markierung ein
|
Markierung ein
|
ja
|
|
Markierung aus
|
Markierung aus
|
nein
|
Außer-Haus-Teile Markierung
Bei Aktivierung wird für alle Teile mit der Auftragsart Außer-Haus im Teilestamm die Struktur der Stückliste aufgelöst. Bei Deaktivierung werden Außer-Haus-Teile nicht aufgelöst, es sei denn, sie werden durch eines der 3 anderen Auswahlfelder eingeschlossen.
Fertigungsteile Markierung
Bei Markierung dieses Feldes wird für alle Teile, die nicht Einkaufs- oder Außer-Haus-Teile sind, die Struktur der Stückliste aufgelöst. Ansonsten werden Fertigungsteile nicht aufgelöst, es sei denn, sie werden durch eines der 3 anderen Auswahlfelder eingeschlossen.
Verkaufsteile Markierung
Wird dieses Feld markiert, so wird für alle Verkaufsteile die Struktur der Stückliste aufgelöst. Wird dieses Feld nicht markiert, so werden Verkaufsteile nicht aufgelöst, es sei denn, sie werden durch eines der 3 anderen Auswahlfelder eingeschlossen.
Lagerbestand muss > 0 sein Markierung
Bei Markierung dieses Feldes wird die Struktur der Stückliste nur aufgelöst, wenn der Lagerbestand im Teilestamm größer als 0 ist.
Teile mit Beistellung durch Kunde ausschließen Markierung
Bei Markierung dieses Feldes werden Teile bei denen im Teilestamm «Beistellung durch Kunde» im Register Fertigung aktiviert ist, von der Strukturauflösung ausgeschlossen werden.
Siehe auch analog in "612 Vorkalkulation".
Von/bis-Selektionsfelder
Hier können die in die Kalkulationsdatei für die Kalkulationsstufenermittlung zu übernehmenden Teile weiter eingeschränkt werden.
Die Selektion Disponent betrifft Feld 5 in Datei 6 und die Selektion Ersatzteilkennung betrifft Feld 58 in Datei 6.
Eine Einschränkung ist zum Beispiel sinnvoll, wenn nur ein Teil aus der Erzeugnisstruktur kalkuliert werden soll. Es erfolgt dann keine Komplettauflösung der gesamten Erzeugnisstruktur. Nach Eingabe des von-Wertes wird dieser in das bis-Feld übernommen.
Bereich „Kundenauftrag/Angebot selektieren“
In diesem Bereich kann festgelegt werden, dass nur die Erzeugnisse aus einem Kundenauftrag bzw. Angebot für die Kalkulation berücksichtigt werden, weitere Selektionen werden ignoriert.
Die Selektionen in diesem Bereich werden nur berücksichtigt, wenn eine der beiden Markierungen «Über Auftrag» und «Über Angebot» aktiviert ist.
Auftrag bzw. Angebot kann über Selektion der Positionsnummern und des Verarbeitungszustands weiter eingeschränkt werden.
Auch erledigte Aufträge/Angebote werden berücksichtigt.
Es werden nur K-Zeilen aus dem Auftrag berücksichtigt.
Beispiel: Kundenauftrag 4711 besteht aus Position 10 mit E1, Position 20 mit E2 und Position 30 mit E3.
Wird der Kundenauftrag 4711 selektiert, werden die Erzeugnisse E1, E2 und E3 jeweils mit ihren Stücklistenstrukturen in die ausgewählte Kalkulationsdatei übernommen.
Zusätzlich wird auch die Auftragsmenge in der Mengeneinheit Lager übernommen.
Hinweise: Die Selektion nach Aufträgen/Angeboten wird bei aktivierter Markierung «Kalkulationsdaten nur initialisieren» nicht berücksichtigt.
Falls zweimal dasselbe Teil im Auftrag/Angebot auftaucht, wird der Bezug zur ersten Position eingetragen, da je Teil nur ein Eintrag in der Kalkulationsdatei möglich ist.
Zum selektierten Kundenauftrag/Angebot wird ein Pseudoteil angelegt, siehe dazu Konfigurationen VBtnrAnfKA und VbteilKA in Sektion [VNK611].
Zu diesem Pseudoteil wird für jede Auftrags-/Angebotsposition eine Stücklistenposition mit der Auftrags-/Angebotsmenge angelegt.
Im Anwenderfeld 1 der Stücklistenposition (Feld 16) wird die Auftrags-/Angebotsposition in der Form "KA-POS: PositionUnterposition" abgestellt.
Bei der Vorkalkulation kann die Position dann über eine individuelle Anpassung mit der Drucksteuertabelle 101 aus dem Puffer 7 ausgegeben werden.
Bei der 612 Vorkalkulation kann der Kundenauftrag bzw. das Angebot bei der „Kalkulation über Teilestruktur“ berücksichtigt werden, alle anderen Kalkulationsvorgänge bleiben unverändert.
Dazu muss die Teilenummer zum Kundenauftrag bzw. Angebot, z.B. KA-4711, selektiert werden. Falls andere Mengen kalkuliert werden sollen, muss die Kalkulationsgröße manuell ausgewählt und die Kalkulationsmenge angegeben werden.
Beispiel:
Bei Auftragsmenge 1000 und Eingabe der Kalkulationsmenge 2 wird Menge 2000 kalkuliert.
Die Kalkulation der Baugruppen und Einzelteile erfolgt streng nach Strukturmengen.
Ausnahmen hierbei sind in den Strukturen vorkommende Gleichteile, für die die Mengen zusammengefasst werden.
|
Beschreibung der Ausgabe
|
Das Programm erzeugt für die jeweils ausgewählte Kalkulationsdatei ein Protokoll zur Kalkulationsvorbereitung. Die Bildschirmausgabe entspricht der Druckausgabe. Für jedes Teil wird eine einzeilige Kurzinformation ausgegeben, die die Teilenummer, die Teilebezeichnung sowie die entsprechende Kalkulationsstufe enthält. Ein * vor der Teilenummer kennzeichnet Teile, die aus einem Arbeitsplan übernommen wurden. Ein * am Ende einer Zeile steht für eine Strukturauflösung von Teilen aus einem Arbeitsplan.
