600.01 Ablauf und Integration der Vorkalkulation
Ablauf der Vorkalkulation

Integration der Vorkalkulation

Erläuterungen zu Ablauf und Integration der Vorkalkulation
"611 Kalkulationsvorbereitung" Modul
Bei der Vorkalkulation wird der Preis eines Erzeugnisses aus drei grundsätzlich verschiedenen Kostenquellen ermittelt (vgl. Abschnitt "Grundschema der VNK"):
-
Materialkosten
-
Preise für Komponenten aus der Stückliste
-
Preise für Komponenten aus dem Arbeitsplan (M-Zeile)
-
Fertigungskosten
-
Kosten der Arbeitsgänge aus dem Arbeitsplan
-
Zuschläge jeder Art
-
zum Beispiel Materialgemeinkosten
-
zum Beispiel Fertigungsgemeinkosten
-
sonstige Zuschläge
Um die Materialkosten eines Erzeugnisses berechnen zu können, müssen demzufolge zuvor die Preise der Komponenten ermittelt worden sein. D.h. bevor das Erzeugnis kalkuliert werden kann, müssen in der Regel alle Komponenten kalkuliert werden. Eine Komponente kann wiederum Komponenten enthalten, die vor dieser Komponente kalkuliert werden müssen. Für die Vorkalkulation bedeutet das, dass zunächst alle Komponenten, die sich in einer Struktur an "unterer" Stelle befinden, kalkuliert werden müssen.
Die Ermittlung der korrekten Reihenfolge der Teile für die Vorkalkulation wird von der Kalkulationsvorbereitung vorgenommen. Sie ermittelt die so genannte Kalkulationsstufe eines Teiles über Stücklisten und Arbeitsplan-Materialzeilen. Die Kalkulationsvorbereitung kann wahlweise die Kalkulationsstufen für alle Teile des Teilestamms errechnen oder auf einen Ausschnitt des Teilestamms begrenzt werden. Dies ist in der Regel sinnvoller, da die Kalkulationsstufenermittlung unter Umständen längere Zeit in Anspruch nehmen kann. Es bietet sich an, die Teile durch die Kalkulationsvorbereitung auflösen zu lassen, die durch die Vorkalkulation kalkuliert werden sollen.
Kalkulationsdateien
Durch die Kalkulationsvorbereitung wird eine so genannte Kalkulationsdatei aufgebaut. Diese Datei enthält für jedes zu kalkulierende Teil einen Datensatz mit Teilenummer und Kalkulationsstufe, sowie diversen anderen Kosten- und Steuerungsfeldern (siehe auch Kapitel 615 Kalkulationsdateien bearbeiten).
Eine besondere Rolle in der Kalkulationsdatei spielt das Feld «Kalkulationskennung». Dieses Feld bestimmt das Verfahren, nach dem die Vorkalkulation das entsprechende Teil zu behandeln hat (siehe unten "Kalkulationsverfahren").
Die Vorkalkulation kann grundsätzlich mit 5 verschiedenen voneinander unabhängigen Kalkulationsdateien arbeiten (KALKULA1.DAT, KALKULA2.DAT, KALKULA3.DAT, KALKULA4.DAT bzw. arbeitsplatzabhängig KALKUnnn.DAT, Dateinummer 71-74 bzw. 149). Jede der 5 Dateien kann dabei je nach Verwendung eine eigene Bedeutung zugewiesen werden. So kann zum Beispiel je Unternehmensbereich (Vertrieb, Fertigung, Entwicklung...) oder je zu kalkulierender Struktur eine eigene Datei verwendet werden. Die Bezeichnungen der Kalkulationsdateien sind als Textkonserven hinterlegbar (siehe 295 Textkonserven (TEXTE1) bearbeiten).
Zur Archivierung können die 5 Kalkulationsdateien gesichert und ausgetauscht werden (siehe Kapitel "Kalkulationsvorbereitung").
"612 Vorkalkulation" Modula
Kalkulationsverfahren
Die Kalkulationskennung in der Kalkulationsdatei bestimmt zunächst grundsätzlich das Verfahren, nach dem ein Preis für das jeweilige Teil kalkuliert bzw. ermittelt wird.
Über zwei Markierungen kann folgende Auswahl getroffen werden:
-
Kalkulation wie Fertigungsteil
-
Kalkulation wie Einkaufsteil
Zusätzlich ist die Vorkalkulation durch zwei teilebezogene Einflussfaktoren steuerbar:
-
Kalkulationssperre
-
manuelle Preisvergabe
Die Kalkulationssperre ist ein Eintrag im Teilestamm, der entweder per Hand (siehe 111 Teilestamm bearbeiten) oder bei der Preisübernahme kalkulierter Preise aus der Vor- und Nachkalkulation (612 Vorkalkulation bzw. 634 Preise aus Nachkalkulation übernehmen/löschen) gesetzt werden kann. Sie verhindert die erneute Kalkulation eines Teiles, dessen Preis zuvor bereits bestimmt wurde. Die Wirkung der Kalkulationssperre ist vom Eintragsdatum der Sperre und einer in 937 Konfigurationsparameter VNK konfigurierbaren Sperrfrist abhängig (siehe dazu auch Kapitel "Vorkalkulation" - Optionsfenster).
Mit 615 Kalkulationsdateien bearbeiten ist eine manuelle Vergabe von Preisen für Teile, die in die Kalkulationsdatei übernommen wurden, möglich. Der manuelle Preiseintrag kann zur individuellen Beeinflussung der Kalkulation verwendet werden. In Einzelfällen kann bereits beim Aufbau der Kalkulationsdatei mit 611 Kalkulationsvorbereitung eine Vergabe von festen Preisen sinnvoll sein, zum Beispiel die Übernahme des aktuellen Einkaufspreises.
Den Einfluss von Kalkulationskennung, Kalkulationssperre und manueller Preisvergabe auf die Behandlung vom Teilen bei der Vorkalkulation zeigt folgende Tabelle:
|
Einstellungen
|
Was passiert bei der Kalkulation?
| ||||||||||
|
Kalkulations-
kennung
|
Kalkulations-
sperre aktiv
|
Kennung
Preis
manuell
|
Verfahren bei der Kalkulation
des jeweiligen Teils
|
Druck-
ausgabe
|
Komponentenpreis
(bei Verwendung)
| ||||||
|
Fertigung
|
N
|
N
|
Stücklisten/Arbeitsplan des Teils
wird aufgelöst und kalkuliert
(zzgl. Zuschläge)
|
J
|
Herstellungskosten II aus
Kalkulationsdatei
| ||||||
|
Fertigung
|
N
|
J
|
Teil wird nicht kalkuliert
|
N
|
Feld «Materialeinzelkosten»
aus Kalkulationsdatei
| ||||||
|
Fertigung
|
J
|
N
|
Teil wird nicht kalkuliert
|
N
|
Preisfindungsmechanismus
(s.u.)
| ||||||
|
Fertigung
|
J
|
J
|
Teil wird nicht kalkuliert
|
N
|
Feld «Materialeinzelkosten»
aus Kalkulationsdatei
| ||||||
|
Einkauf
|
N
|
N
|
Preisfindungsmechanismus
und anschließende
Zuschlagskalkulation
|
J
|
Herstellungskosten II aus
Kalkulationsdatei
| ||||||
|
Einkauf
|
N
|
J
|
Preis aus Feld
«Materialeinzelkosten» und
anschl. Zuschlagskalkulation
|
J
|
Herstellungskosten II aus
Kalkulationsdatei
| ||||||
|
Einkauf
|
J
|
N
|
Teil wird nicht kalkuliert
|
N
|
Preisfindungsmechanismus
(s.u.)
| ||||||
|
Einkauf
|
J
|
J
|
Teil wird nicht kalkuliert
|
N
|
Feld «Materialeinzelkosten»
aus Kalkulationsdatei
| ||||||
Komponentenpreis (bei Verwendung)
Die Spalte "Komponentenpreis (bei Verwendung)" in obiger Tabelle gibt an, welcher Preis des zu kalkulierenden Teiles als Materialpreis verwendet wird, wenn dieses Teil als Komponente in eine übergeordnete Baugruppe eingeht. Dieser Aspekt der Vorkalkulation ist weiter unten in diesem Kapitel unter dem Stichpunkt "Preise eingesetzter Materialien und Baugruppen" genauer erläutert.
Preisfindungsmechanismus
Beim Preisfindungsmechanismus handelt es sich um ein Verfahren bei der Vorkalkulation, nach dem Preise für Teile ermittelt werden, deren Preis nicht durch die Kalkulation errechnet werden kann oder darf (siehe "Preise für eingesetzte Materialien oder Baugruppen"). Das Verfahren ist eine beliebig beeinflussbare Suche nach Preisen aus dem Teilestamm. Die Suche erfolgt nach einem Prioritätsverfahren, d.h. eine Liste gibt an, in welcher Reihenfolge welche Preise des Teilestamms für die Verwendung als Materialpreis geprüft werden sollen. Je nach gewünschtem Preisfindungsprinzip wird entweder
-
der erste gefundene Preis (ungleich 0)
-
der niedrigste gefundene Preis (ungleich 0) oder
-
der höchste Preis
verwendet.
Der Preisfindungsmechanismus ist individuell für jedes Teil über ein Schema steuerbar (siehe 613.02 Preisfindung bearbeiten). Existiert im verwendeten Schema für ein Teil kein gültiger Datensatz zur Preisfindung, so wird ein Standard-Preisermittlungsverfahren eingesetzt (siehe 937 Konfigurationsparameter VNK).
Einkaufsteile mit Stückliste/Arbeitsplan
Teile mit Kalkulationskennung "Einkauf", für die eine Stückliste oder ein Arbeitsplan hinterlegt ist, können bei der Kalkulation auf Wunsch wie Fertigungsteile (siehe Kalkulationskennung "Fertigung" in der Tabelle) behandelt werden. Dies ist über eine Eingabe im Optionsfenster der Vorkalkulation möglich. Die Kalkulationskennung kann darüber hinaus jederzeit für einzelne Teile mit 615 Kalkulationsdaten bearbeiten modifiziert werden. Diese unterschiedlichen Kalkulationsmöglichkeiten ermöglichen einen Kostenvergleich zur Unterstützung der Entscheidung zwischen Eigenfertigung und Fremdbezug.
Preise eingesetzter Materialien und Baugruppen
Preise für Komponenten werden bei der Vorkalkulation in der Regel aus dem zugehörigen Datensatz der Kalkulationsdatei entnommen. Voraussetzung dafür ist es, dass die Komponente zuvor kalkuliert wurde und keine Sonderregelung dies verbietet. In diesem Fall entspricht der Preis der Komponente den bei der Kalkulation errechneten Herstellungskosten II. Da für Einkaufsteile keine Arbeitspläne und Stücklisten existieren, enthalten die Herstellungskosten II lediglich den Preis des Teils inkl. eventuell hinterlegten Zuschlägen für das Teil. Die folgende Tabelle zeigt, wie der Preis des eingesetzten Materials bzw. der eingesetzten Baugruppe unter welchen Umständen bestimmt wird:
|
Einstellungen
|
Was passiert bei der Kalkulation?
| ||||
|
Für die Komponente ist ein Satz in d. Kalk.-datei vorhanden
|
existiert f. d. Komponente ein Stammsatz
|
wurde die Komponente zuvor kalkuliert
|
Kennung Preis manuell
|
verwendeter Preis bei Einsatz der Komponente
|
Kennzeichen auf der Liste
|
|
N
|
N
|
N
|
N
|
€ 0,00
|
?
|
|
N
|
J
|
N
|
N
|
Preisfindung
|
!
|
|
J
|
N
|
N
|
N
|
€ 0,00
|
?
|
|
J
|
J
|
N
|
N
|
Preisfindung
|
!
|
|
J
|
N
|
J
|
N
|
Herstellungskosten II
(Kalkulationsdatei)
|
&
|
|
J
|
N
|
N
|
J
|
Materialeinzelkosten
(Kalkulationsdatei)
|
& "manuell"
|
|
J
|
J
|
J
|
N
|
Herstellungskosten II
(Kalkulationsdatei
|
|
|
J
|
J
|
N
|
J
|
Materialeinzelkosten
(Kalkulationsdatei)
|
|
|
J
|
J
|
J
|
J
|
Kalkulationskennung 0: Materialeinzelkosten
(Kalkulationsdatei)
|
"manuell"
|
|
|
N
|
|
|
Kalkulationskennung 1: Herstellungskosten II
(Kalkulationsdatei)
|
"manuell"
|
Fixe und variable Gemeinkosten
Bei der Vorkalkulation besteht die Möglichkeit, bei jedem Kalkulationslauf wahlweise
-
fixe und variable
-
nur fixe
-
nur variable oder
-
keineMaterial- und Fertigungsgemeinkosten zu berücksichtigen.
Preis bei Außer-Haus-Arbeitsgängen
Bei Außer-Haus-Arbeitsgängen werden anstelle der Zeiten und Stundensätze die Menge und der Außer-Haus-Preis (Feld 34 in Datei 10) und die Preiseinheit (Feld 35) für die Kalkulation verwendet. Das Kriterium für die Berücksichtigung des Außer-Haus-Preises ist die Angabe einer Lieferantennummer und eines Außer-Haus-Preises ungleich 0. Falls im Arbeitsgang ein Preis 0 steht, wird der Verrechnungspreis und die Preiseinheit des Außer-Haus-Pseudoteiles für den Arbeitsgang herangezogen. Falls auch dieser Preis 0 ist, wird der Arbeitsgang nicht Außer-Haus spezifisch behandelt. Es erfolgt keine Umrechnung bei abweichenden Mengeneinheiten zwischen Außer-Haus-Pseudoteilestamm und dem Teilestamm, für den der Arbeitsplan kalkuliert wird.
Siehe auch Markierung «Preisfindung Außer-Haus-Fertigung wie Einkaufsteil» beim Metaschema.
Schemagesteuerte Preisfindung für Außer-Haus-Arbeitsgänge
Gesteuert wird diese Art der Preisfindung für Außer-Haus-Arbeitsgänge über ein Markierungsfeld im Metaschema «Preisfindung AHF wie EK-Teil», erfassbar im Modul "6131 Meta-Schema bearbeiten". Voraussetzung für diese Art der Preisfindung ist die Angabe einer Lieferantennummer und einer Pseudoteilenummer im Arbeitsgang. Falls im Arbeitsgang ein Preis 0 steht, findet die Preisfindung für das Pseudoteil wie für ein Kaufteil einer Stücklistenposition statt. Im Modul "6132 Preisfindung bearbeiten" kann der zu verwendende Preis eingestellt und für die Wirksamkeit für Felder des Teilestammsatzes eingegrenzt werden.
Bei Verwendung von Lieferkonditionen im Preisschema wird immer der Lieferant aus dem Außer-Haus-Arbeitsgang angewendet.
Mit der INI-Einstellung AHpreis716 aus der Sektion [VNK612] kann der Preis zuerst in den "716 Konditionen für Außer-Haus-Fertigung (AHF)" gesucht wird. Erst danach wird der Preis in den "714 Lieferkonditionen" gesucht.
Wenn kein Preis gefunden wird, wird mit dem Preis Null kalkuliert (also Wert 0).
Wenn die Bestelleinheit des Pseudoteils von der Lagermengeneinheit des Pseudoteils abweicht, wird die Kalkulationsmenge umgerechnet.
Beispiel
Mengeneinheit Lager = St, Bestelleinheit = kg, Umrechnung = 0,012.
Wenn 100 St kalkuliert werden, so wird der Kalkulationswert dieser Position aus 1,2 kg mal letzter Einkaufspreis errechnet.
Die Kalkulationsmenge und der Kalkulationspreis (im Beispiel = 1,2 kg und letzter Einkaufspreis) werden wie die Pseudoteilenummer mit Bezeichnung (Puffer 600) für den Druck im Druckpuffer bereitgestellt. Der ermittelte Preis wird für den Druck in den Puffer 10, Feld 34 und die Preiseinheit in den Puffer 10, Feld 35 zurückgeschrieben. Die Kalkulationsmenge steht im Erfassungspuffer (255) an der Position 1791.
Die zu kalkulierende Arbeitsgangzeile für eine Außer-Haus-Fertigung kann mit den bereits verfügbaren Funktionen mit einem Gemeinkostenzuschlag beaufschlagt werden. Der Gemeinkostenzuschlag wird im Modul "6134 Fertigungsgemeinkosten bearbeiten" hinterlegt. Hier kann die Nutzung des Zuschlags zum Beispiel über die Maschinennummer eingegrenzt werden (zum Beispiel Maschinennummer 8 bis 8).
Anteilige Kostenrechnung
Bei der Vorkalkulation werden für alle kalkulierten Teile auch die anteiligen Kosten für Materialeinsatz, Fertigungskosten und Gemeinkosten an den Gesamtkosten bestimmt. Um dabei korrekte Ergebnisse zu erhalten, muss das gesamte Erzeugnis mit all seinen Komponenten komplett kalkuliert werden (ohne Kalkulationssperren oder manuelle Preise bei Fertigungsteilen). Dabei werden die jeweils ermittelten Kosten für die verschiedenen Kostenquellen separat an den übergeordneten Baukasten weitergegeben und dort summiert. Dieser Prozess wird bis zur letzten Kalkulationsstufe wiederholt. Die Ergebnisse dieser anteiligen Kostenrechnung werden nicht im Protokoll ausgegeben, sondern können in der Kalkulationsdatei eingesehen werden.
Preisaktualisierung im Teilestamm
Die Ergebnisse der Vorkalkulation, die in der Kalkulationsdatei abgelegt werden, lassen sich in verschiedene Preisfelder des Teilestamms übertragen. Dabei besteht die Möglichkeit die zu übernehmenden Preise nach eigenen Wünschen zu runden. Folgende Preise (Kosten) können zur Übernahme in den Teilestamm ausgewählt werden:
-
Materialeinzelkosten
-
Herstellungskosten I
-
Herstellungskosten II
-
Selbstkosten
-
kalkulierter Preis
Die Preise können wahlweise in folgende Preisfelder des Teilestamms übernommen werden:
-
Verrechnungspreis
-
Inventurpreis
-
Einkaufspreis
-
Verkaufspreis
Bei der Preisübernahme kann die Kalkulationssperre für die aktualisierten Teile aktiviert werden (s.o.).
Ausschnitt aus einem Vorkalkulationsablauf
Im Folgenden wird anhand eines Beispiels ein möglicher Ablauf bei der Anwendung der Vorkalkulation mit verschiedenen Bearbeitungsschritten vorgestellt. Die Konfiguration der VNK entspricht dabei der Standard-Vorbelegung.
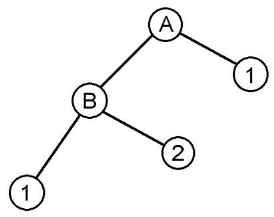
Teilestruktur
Gegeben sei folgende Teilestruktur:

Teilestamm
In der gezeigten Teilestruktur sind die Baugruppen A und B sowie die Einkaufsteile 1 und 2 enthalten. Teil A setzt sich aus 4 x Teil B und 10 x Teil 1, B aus 5 x Teil 1 und 6 x Teil 2 zusammen.
Bevor die Kalkulation beginnen kann, werden die Teilestammsätze der genannten Teile angepasst:
-
Bei den Teilen 1 und 2 wird im Feld «Einkaufsteil» die Markierung eingeschaltet.
-
Bei den Teilen A und B darf «Einkaufsteil» nicht markiert sein.
-
Zusätzlich soll Teil A Verkaufsteil sein. Demzufolge wird bei "Verkaufsteil" die Markierung eingeschaltet.
Schemadatei (Modul 613)
Als nächstes soll ein Preisermittlungsverfahren für die Teile 1 und 2 bestimmt werden. Das Preisermittlungsverfahren wird in Form einer Prioritätentabelle in der Schemadatei unter dem Schema "TEST" abgelegt. Folgende Daten werden in 613.02 Preisfindung bearbeiten) eingegeben:
|
Feld
|
Eingabe
|
|
Schema Preise
|
"TEST"
|
|
Nummer
|
"1" "Preisfindung Teil 1 und 2"
|
|
aktiv
|
Markierung ein
|
|
Datei
|
"Teilestamm"
|
|
Pos.
|
"8" (Teilenummer)
|
|
Länge
|
"15" (Teilenummer)
|
|
von
|
"1"
|
|
bis
|
"2"
|
|
Einkaufspreis
|
"X" (zweithöchste Priorität)
|
|
Lieferkonditionen
|
"Y" (höchste Priorität)
|
|
Prinzip Preisfindung
|
"niedrigster Preis"
|
In dem Beispiel wird zur Preisermittlung zunächst nach einer günstigen Lieferkondition gesucht und dann noch der Einkaufspreis geprüft => der niedrigere Preis hat Vorrang (Prinzip 1).
Der Einfachheit halber werden für alle Teile die gleichen anfallenden Materialgemeinkosten von 10% fixem und 5% variablem Anteil angenommen. Für die Materialgemeinkosten wird ebenfalls ein Schemasatz angelegt. Dieser enthält folgende Daten:
|
Feld
|
Eingabe
|
|
Schema MGK
|
"TEST"
|
|
Nummer
|
"1" "MGK für alle Teile"
|
|
aktiv
|
Markierung ein
|
|
MGK im Baukasten
|
Markierung aus
|
|
Angabe in
|
"Prozent"
|
|
MGK fix
|
"10,00"
|
|
MGK variabel
|
"5,00"
|
Weiterhin sollen Zuschläge für die Beispielteile in der Schemadatei angelegt werden. Teil B hat zum Beispiel große Forschungs- und Entwicklungskosten (50,00 €) verursacht, diese werden als "Zuschlag auf Herstellungskosten I" mit folgenden Daten in der Schemadatei abgelegt:
|
Feld
|
Eingabe
|
|
Schema HK I
|
"TEST"
|
|
Gruppe
|
"F&E"
|
|
Nummer
|
"1" "Kosten F&E für Teil B"
|
|
aktiv
|
Markierung ein
|
|
Datei
|
"Teilestamm"
|
|
Pos.
|
"8" (Teilenummer)
|
|
Länge
|
"15" (Teilenummer)
|
|
von
|
"B"
|
|
bis
|
"B"
|
|
Ausgabe in
|
"Betrag"
|
|
Zuschlag auf HK I
|
"50,00"
|
Für Teil A soll ein Kalkulationszuschlag von 15 % hinterlegt werden. Dieser Zuschlag wird mit folgenden Daten auf die Selbstkosten aufgeschlagen:
|
Feld
|
Eingabe
|
|
Schema Selbstk.
|
"TEST"
|
|
Gruppe
|
"KAL"
|
|
Nummer
|
"1" "Gewinnspanne für Teil A"
|
|
Datei
|
"Teilestamm"
|
|
Pos.
|
"8" (Teilenummer)
|
|
Länge
|
"15" (Teilenummer)
|
|
von
|
"A"
|
|
bis
|
"A"
|
|
Angabe in
|
"Prozent"
|
|
Zuschlag auf SK
|
"15,00"
|
Einige weitere Zuschläge für die Beispielteile werden definiert, die hier nicht näher erläutert werden. Sie tauchen später auf dem Beispielprotokoll der Vorkalkulation zusammen mit den zuvor beschriebenen Zuschlägen auf.
Kalkulationsvorbereitung
Nachdem die Schemadatei für die Kalkulation vorbereitet wurde, muss mit 611 Kalkulationsvorbereitung eine Kalkulationsdatei aufgebaut und die Kalkulationsstufen der Beispielteile ermittelt werden. Die Preise für die Teile 1 und 2 sollen dabei nicht vorbelegt werden (Auswahlliste "Preis für Einkaufsteile vorbelegen" auf "keine Vorbelegung"). Im 2. Bildschirm (Selektionsbildschirm) ist darauf zu achten, dass nur Teil A für die Vorbereitung selektiert wird (Selektion Teilenummer von "A" bis "A"). Durch das Programm wird bei der Stücklistenauflösung automatisch die gesamte zu Teil A gehörige Struktur in die Kalkulationsdatei übernommen.
Bei der Kalkulationsvorbereitung wird die Kalkulationskennung für jedes Teil vergeben:
|
Teil
|
Kalkulationskennung
|
Kalkulationsstufe
|
|
1
|
Einkauf
|
2
|
|
2
|
Einkauf
|
2
|
|
A
|
Fertigung
|
0
|
|
B
|
Fertigung
|
1
|
Vorkalkulation
Die Beispielteile sollen jetzt kalkuliert werden. Da bisher noch keine Kalkulationswerte für die Teile in der Kalkulationsdatei ermittelt wurden, empfiehlt sich zunächst die Kalkulation über alle Teile (Auswahl 1 in 612 Vorkalkulation durchzuführen.
Bei der Vorkalkulation werden die Beispielteile von der höchsten zur niedrigsten Kalkulationsstufe durchkalkuliert:
-
Teil 2 (Kalkulationsstufe 2)
-
Teil 1 (Kalkulationsstufe 2)
-
Teil B (Kalkulationsstufe 1)
-
Teil A (Kalkulationsstufe 0)
Vor dem Kalkulationsprotokoll kann eine Übersicht der zu kalkulierenden Teile und der Reihenfolge bei der Kalkulation gedruckt werden.
Für das Teil 2 werden bei der Vorkalkulation folgende Werte ermittelt (Druckausgabe mit Detaillierungsgrad 1, Auswahl "alles kalkulieren"):
Kalkulationsmenge: 100 Stück
Preiseinheit (PE): 1 Stück
|
Kostenart
|
je PE
|
gesamt
|
|
|
Materialeinzelkosten
(= Einkaufspreis)
|
6,50
|
650,00
|
|
|
Materialgemeinkosten fix (10%)
|
0,65
|
65,00
|
|
|
Materialgemeinkosten variabel (5%)
|
0,33
|
32,50
|
|
|
Materialkosten
(= Herstellungskosten I)
|
7,48
|
747,50
|
|
|
Verwaltungsgemeinkosten
|
0,75
|
74,75
|
|
|
Herstellungskosten II
(= kalkulierter Preis)
|
8,22
|
822,25
|
|
Die Kalkulation für Teil 1 ergibt ähnliche Daten.
Hinweis
Bei der Vorkalkulation werden immer die Kosten für die gesamte Kalkulationsmenge kalkuliert. Die jeweiligen Kosten je Preiseinheit werden aus den entsprechenden Kosten für die gesamte Kalkulationsmenge errechnet, indem durch die Kalkulationsmenge geteilt wird. Da immer auf 2 Stellen nach dem Komma gerundet wird, können bei den Kosten je Preiseinheit durch diese Vorgehensweise Rundungsfehler auftreten.
Die Kalkulation der Baugruppe B führt zu folgenden Daten (Auswahl "alles kalkulieren"):
Kalkulationsmenge: 10 Stück
Preiseinheit (PE): 1 Stück
|
Kostenart
|
je PE
|
gesamt
|
|
|
Teil 1 (5x je PE)
|
31,65
|
316,50
|
|
|
Teil 2 (6x je PE)
|
49,32
|
493,20
|
|
|
Materialeinzelkosten
|
80,97
|
809,70
|
|
|
Materialgemeinkosten fix (10%)
|
8,10
|
80,97
|
|
|
Materialgemeinkosten variabel (5%)
|
4,05
|
40,49
|
|
|
Materialkosten
|
93,12
|
931,16
|
|
|
Maschine 2 (12,5 Std.)
|
|
625,00
|
|
|
Maschinenkosten fix
|
|
937,50
|
|
|
Maschinenkosten variabel
|
|
62,50
|
|
|
Kosten Maschine 2
|
|
1625,00
|
|
|
Maschine 3 (5 Std.)
|
|
525,00
|
|
|
Maschinenkosten fix
|
|
1000,00
|
|
|
Maschinenkosten variabel
|
|
50,00
|
|
|
Kosten Maschine 3
|
|
1575,00
|
|
|
Fertigungseinzelkosten
|
320,00
|
3200,00
|
|
|
Sondereinzelkosten Fertigung
|
0,50
|
5,00
|
|
|
Fertigungskosten
|
320,50
|
3205,00
|
|
|
Materialkosten
|
93,12
|
931,16
|
|
|
Fertigungskosten
|
320,50
|
3205,00
|
|
|
Herstellungskosten I (HK I)
|
413,62
|
4136,16
|
|
|
Forschung & Entwicklung
|
5,00
|
50,00
|
|
|
Sondereinzelkosten F&E
|
20,68
|
206,81
|
|
|
Herstellungskosten II (HK II)
(= kalkulierter Preis)
|
439,30
|
4392,97
|
|
Teil B und Teil 1 sind Komponenten von Teil A.
Die Kalkulation für Teil A ergibt folgende Daten (Auswahl "alles kalkulieren"):
Kalkulationsmenge: 10 Stück
Preiseinheit (PE); 1 Stück
|
Kostenart
|
je PE
|
gesamt
|
|
|
Baugruppe B (4x je PE)
|
1757,20
|
17572,00
|
|
|
Teil 1 (10x je PE)
|
63,30
|
633,00
|
|
|
Materialeinzelkosten
|
1820,50
|
18205,00
|
|
|
Materialgemeinkosten fix (10%)
|
182,05
|
1820,50
|
|
|
Materialgemeinkosten variabel (5%)
|
91,03
|
910,25
|
|
|
Materialkosten
|
2093,58
|
20935,75
|
|
|
Maschine 1 (41,5 Std.)
|
|
2697,50
|
|
|
Maschinenkosten fix
|
|
3320,00
|
|
|
Maschinenkosten variabel
|
|
0,00
|
|
|
Kosten Maschine 1
|
|
6017,50
|
|
|
Maschine 2 (28 Std.)
|
|
1400,00
|
|
|
Maschinenkosten fix
|
|
2100,00
|
|
|
Maschinenkosten variabel
|
|
140,00
|
|
|
Kosten Maschine 2
|
|
3640,00
|
|
|
Fertigungseinzelkosten
|
965,75
|
9657,50
|
|
|
Sondereinzelkosten Fertigung
|
0,50
|
5,00
|
|
|
Fertigungskosten
|
966,25
|
9662,50
|
|
|
Materialkosten
|
2093,58
|
20935,75
|
|
|
Fertigungskosten
|
966,25
|
9662,50
|
|
|
Herstellungskosten I (HK I)
(= Herstellungskosten II (HK II))
|
3059,83
|
30598,25
|
|
|
Sondereinzelkosten Vertrieb
|
15,00
|
150,00
|
|
|
Vertriebsgemeinkosten
|
1,00
|
10,00
|
|
|
Selbstkosten
|
3075,83
|
30758,25
|
|
|
Kalkulationszuschlag (15%)
|
461,37
|
4613,74
|
|
|
kalkulierter Preis
|
3537,20
|
35371,99
|
|
Manueller Preis
Angenommen, der Preis, mit dem die Baugruppe B in die Baugruppe A eingeht, sei nach unseren Vorstellungen zu hoch. Statt der vorgeschlagenen 439,30 € sollen für ein Teil B 400,00 € verrechnet werden. Um das zu erreichen, muss für das Teil B in der Kalkulationsdatei in "615 Kalkulationsdaten bearbeiten" ein manueller Preiseintrag vorgenommen werden.
Hinweis
Ein manueller Preiseintrag besteht aus einem Eintrag im Feld «Materialeinzelkosten» und Auswahl der Markierung «Kalkulation wie Einkaufsteil». Dabei ist zu beachten, dass die kalkulierten Werte in dem geänderten Datensatz der Kalkulationsdatei ihre Gültigkeit verlieren und in sich nicht mehr schlüssig sind.
Anschließend wird der Preis für Teil A neu kalkuliert. In diesem Fall müssen nicht noch einmal alle Teile der Kalkulationsdatei neu durchkalkuliert werden. Durch die Auswahl "Kalkulation über Teilestruktur" in 612 Vorkalkulation, eine Kalkulationstiefe von "0" und die Selektion des Teiles A wird erreicht, dass lediglich Baugruppe A neu kalkuliert wird (Auswahl "Kalkulation über Teilestruktur"):
Kalkulationsmenge: 10 Stück
Preiseinheit (PE); 1 Stück
|
Kostenart
|
je PE
|
gesamt
|
|
|
Baugruppe B (4x je PE)
|
1600,00
|
16000,00
|
|
|
Teil 1 (10x je PE)
|
63,30
|
633,00
|
|
|
Materialeinzelkosten
|
1663,30
|
16633,00
|
|
|
Materialgemeinkosten fix (10%)
|
166,33
|
1663,30
|
|
|
Materialgemeinkosten variabel (5%)
|
91,03
|
831,65
|
|
|
Materialkosten
|
1912,80
|
19127,95
|
|
|
Maschine 1 (41,5 Std.)
|
|
2697,50
|
|
|
Maschinenkosten fix
|
|
3320,00
|
|
|
Maschinenkosten variabel
|
|
0,00
|
|
|
Kosten Maschine 1
|
|
6017,50
|
|
|
Maschine 2 (28 Std.)
|
|
1400,00
|
|
|
Maschinenkosten fix
|
|
2100,00
|
|
|
Maschinenkosten variabel
|
|
140,00
|
|
|
Kosten Maschine 2
|
|
3640,00
|
|
|
Fertigungseinzelkosten
|
965,75
|
9657,50
|
|
|
Sondereinzelkosten Fertigung
|
0,50
|
5,00
|
|
|
Fertigungskosten
|
966,25
|
9662,50
|
|
|
Materialkosten
|
1912,50
|
19127,95
|
|
|
Fertigungskosten
|
966,25
|
9662,50
|
|
|
Herstellungskosten I (HK I)
(= Herstellungskosten II (HK II))
|
2879,05
|
28790,45
|
|
|
Sondereinzelkosten Vertrieb
|
15,00
|
150,00
|
|
|
Vertriebsgemeinkosten
|
1,00
|
10,00
|
|
|
Selbstkosten
|
2895,05
|
28950,45
|
|
|
Kalkulationszuschlag (15%)
|
434,26
|
4342,57
|
|
|
kalkulierter Preis
|
3329,30
|
33293,02
|
Schema
|
Übernahme der kalkulierten Preise / Kalkulationssperre
Nachdem der Preis für die Baugruppe A nun unseren Wünschen entspricht, soll der Verkaufspreis für Teil A im Teilestamm mit dem kalkulierten Preis aktualisiert werden (612 Vorkalkulation , Auswahl 4).
Um bei einer nächsten Kalkulation nicht die zu verrechnenden Preise der Teile 1, 2 und B neu ermitteln zu müssen, sollen deren Verrechnungspreise im Teilestamm mit den ermittelten Herstellungskosten II aktualisiert werden. Dabei soll gleichzeitig die Kalkulationssperre im Teilestamm aktiviert werden. Zu beachten ist hierbei, dass der übernommene Preis für Teil B nicht der manuelle Preiseintrag ist, sondern die Herstellungskosten II, die im vorletzten Kalkulationslauf ermittelt wurden.
Damit bei der nächsten Kalkulation auch wirklich die Verrechnungspreise für die zu verarbeitenden Komponenten verwendet werden, muss das Preisfindungsverfahren für diese Teile angepasst werden. Im Beispielfall ist es am einfachsten, den zuvor angelegten Preisfindungssatz in der Schemadatei in "613 Schemasätze bearbeiten" zu ändern, d.h. ein "Z" in das Feld «Verrechnungspreis» und " " in alle anderen Prioritätenfelder einzutragen.
Damit für Teil B ebenfalls der Verrechnungspreis herangezogen wird, muss das gleiche Preisfindungsverfahren für Teil B als Schemasatz hinterlegt werden.
Der Eintrag "Z" beim Verrechnungspreis bewirkt, dass bei der nächsten Kalkulation für alle Teile, die nicht kalkuliert werden, der Verrechnungspreis zugrunde gelegt wird, wenn sie als Komponente verwendet werden.
Eine weitere Möglichkeit zur Änderung des Preisfindungsverfahrens bietet das in 937 Konfigurationsparameter VNK hinterlegte Standard-Preisermittlungsverfahren. Wird dort ein Z beim Verrechnungspreis hinterlegt (alle anderen Preise durch Leerzeichen deaktivieren), so greift die Vorkalkulation bei der Preisermittlung immer auf den Verrechnungspreis eines Teiles zu, wenn kein gültiger Preisfindungsschemasatz für das jeweilige Teil gefunden wird. Im aktuellen Beispiel müssten also die vorhandenen Schemasätze zur Preisfindung deaktiviert (d.h. die Markierung «aktiv» muss deaktiviert sein) und ggf. das Standard-Preisermittlungsverfahren im "937 Konfigurationsparameter VNK" angepasst werden.
Kalkulation mit Kalkulationssperre
Zu einem späteren Zeitpunkt möchten Sie Teil A erneut kalkulieren. Es könnte zum Beispiel sein, dass sich irgendwelche Zuschläge für Teil A geändert haben (höhere Vertriebskosten o.ä.). In diesem Beispiel soll aber bewusst auf eine Veränderung der Kalkulationsumstände verzichtet werden, da so die Wirkung der Kalkulationssperre einfacher zu durchschauen ist.
Für die erneute Kalkulation wird die Kalkulationsdatei neu aufgebaut bzw. initialisiert (siehe 611 Kalkulationsvorbereitung).
Bei der anschließenden Kalkulation von Teil A ergeben sich folgende Kalkulationswerte:
Kalkulationsmenge: 10 Stück
Preiseinheit (PE); 1 Stück
|
Kostenart
|
je PE
|
gesamt
|
|
|
Baugruppe B (4x je PE)
|
1757,20
|
17572,00
|
|
|
Teil 1 (10x je PE)
|
63,30
|
633,00
|
|
|
Materialeinzelkosten
|
1820,50
|
18205,00
|
|
|
Materialgemeinkosten fix (10%)
|
182,05
|
1820,50
|
|
|
Materialgemeinkosten variabel (5%)
|
91,03
|
910,25
|
|
|
Materialkosten
|
2093,58
|
20935,75
|
|
|
Maschine 1 (41,5 Std.)
|
|
2697,50
|
|
|
Maschinenkosten fix
|
|
3320,00
|
|
|
Maschinenkosten variabel
|
|
0,00
|
|
|
Kosten Maschine 1
|
|
6017,50
|
|
|
Maschine 2 (28 Std.)
|
|
1400,00
|
|
|
Maschinenkosten fix
|
|
2100,00
|
|
|
Maschinenkosten variabel
|
|
140,00
|
|
|
Kosten Maschine 2
|
|
3640,00
|
|
|
Fertigungseinzelkosten
|
965,75
|
9657,50
|
|
|
Sondereinzelkosten Fertigung
|
0,50
|
5,00
|
|
|
Fertigungskosten
|
966,25
|
9662,50
|
|
|
Materialkosten
|
2093,58
|
20935,75
|
|
|
Fertigungskosten
|
966,25
|
9662,50
|
|
|
Herstellungskosten I (HK I)
(= Herstellungskosten II (HK II))
|
3059,83
|
30598,25
|
|
|
Sondereinzelkosten Vertrieb
|
15,00
|
150,00
|
|
|
Vertriebsgemeinkosten
|
1,00
|
10,00
|
|
|
Selbstkosten
|
3075,83
|
30758,25
|
|
|
Kalkulationszuschlag (15%)
|
461,37
|
4613,74
|
|
|
kalkulierter Preis
|
3537,20
|
35371,99
|
|
Die ermittelten Werte stimmen mit den am Anfang ermittelten Preisen überein, obwohl die Teile 1, 2 und B nicht neu kalkuliert wurden.
